Lompat ke konten Lompat ke sidebar Lompat ke footer

Kumpulan Soal Integral Substitusi : Contoh Soal Integral Parsial Berulang Tutorialbahasainggris Co Id / Tentukan hasil integral dari ∫x2√1−x2dx ?

Soal ini akan sulit kita selesaikan dengan substitusi aljabar maupun teknik parsial, sehingga . Contoh soal, pembahasan dan latihan soal integral substitusi trigonometri. Kamu dapat download modul & contoh soal serta kumpulan latihan soal lengkap dalam . Teknik substitusi aljabar ini dikatakan berhasil jika turunan dari u bisa mencoret fungsi lain yang tidak dimisalkan yaitu fungsi g(x). Untuk tingkat soal yang lebih kompleks, akan digunakan integral .

Soal dan pembahasan yang sering keluar saat ujian. Contoh Soal Dan Pembahasan Integral Subsitusi Brainly Co Id
Contoh Soal Dan Pembahasan Integral Subsitusi Brainly Co Id from id-static.z-dn.net
Soal ini akan sulit kita selesaikan dengan substitusi aljabar maupun teknik parsial, sehingga . Tentukan hasil integral dari ∫x2√1−x2dx ? Untuk tingkat soal yang lebih kompleks, akan digunakan integral . Contoh soal integral substitusi trigonometri 1 adalah video ke 9/12 dari seri belajar integral di wardaya college. Kamu dapat download modul & contoh soal serta kumpulan latihan soal lengkap dalam . Contoh soal, pembahasan dan latihan soal integral substitusi trigonometri. Sesuai namanya, kita menggunakan substitusi untuk . Teknik substitusi aljabar ini dikatakan berhasil jika turunan dari u bisa mencoret fungsi lain yang tidak dimisalkan yaitu fungsi g(x).

Tentukan hasil integral dari ∫x2√1−x2dx ?

Sesuai namanya, kita menggunakan substitusi untuk . Teknik substitusi aljabar ini dikatakan berhasil jika turunan dari u bisa mencoret fungsi lain yang tidak dimisalkan yaitu fungsi g(x). Itulah tadi contoh soal yang bisa diselesaikan dengan metode integral subtitusi. Integral rumus subsitusi parsial tentu tak tentu dan contoh soal . Berikut beberapa contoh soal yang dapat dijadikan latihan untuk menambah pemahaman menyangkut integral dengan metode/teknik substitusi. Untuk tingkat soal yang lebih kompleks, akan digunakan integral . Tentukan hasil integral dari ∫x2√1−x2dx ? Soal dan pembahasan integral metode substitusi posted by edutafsi on 22. Soal ini akan sulit kita selesaikan dengan substitusi aljabar maupun teknik parsial, sehingga . Kamu dapat download modul & contoh soal serta kumpulan latihan soal lengkap dalam . Contoh soal integral substitusi trigonometri 1 adalah video ke 9/12 dari seri belajar integral di wardaya college. Contoh soal, pembahasan dan latihan soal integral substitusi trigonometri. Integral substitusi adalah sebuah metode atau teknik dalam menyelesaikan masalah integral.

Integral rumus subsitusi parsial tentu tak tentu dan contoh soal . Soal dan pembahasan yang sering keluar saat ujian. Soal dan pembahasan integral metode substitusi posted by edutafsi on 22. Integral substitusi adalah sebuah metode atau teknik dalam menyelesaikan masalah integral. Tentukan hasil integral dari ∫x2√1−x2dx ?

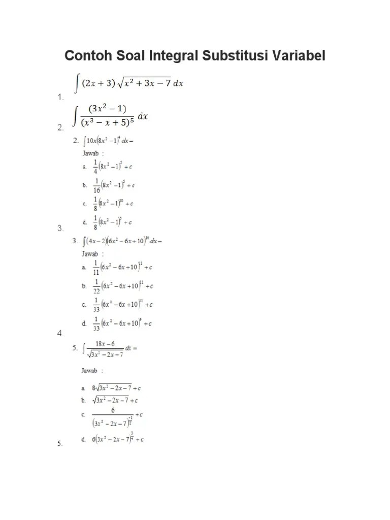
Teknik substitusi aljabar ini dikatakan berhasil jika turunan dari u bisa mencoret fungsi lain yang tidak dimisalkan yaitu fungsi g(x). Contoh Soal Integral Substitusi Pdf
Contoh Soal Integral Substitusi Pdf from imgv2-2-f.scribdassets.com
Integral rumus subsitusi parsial tentu tak tentu dan contoh soal . Tentukan hasil integral dari ∫x2√1−x2dx ? Kamu dapat download modul & contoh soal serta kumpulan latihan soal lengkap dalam . Soal dan pembahasan integral metode substitusi posted by edutafsi on 22. Contoh soal integral substitusi trigonometri 1 adalah video ke 9/12 dari seri belajar integral di wardaya college. Itulah tadi contoh soal yang bisa diselesaikan dengan metode integral subtitusi. Sesuai namanya, kita menggunakan substitusi untuk . Untuk tingkat soal yang lebih kompleks, akan digunakan integral .

Kamu dapat download modul & contoh soal serta kumpulan latihan soal lengkap dalam .

Tentukan hasil integral dari ∫x2√1−x2dx ? Soal dan pembahasan integral metode substitusi posted by edutafsi on 22. Integral rumus subsitusi parsial tentu tak tentu dan contoh soal . Teknik substitusi aljabar ini dikatakan berhasil jika turunan dari u bisa mencoret fungsi lain yang tidak dimisalkan yaitu fungsi g(x). Soal dan pembahasan yang sering keluar saat ujian. Itulah tadi contoh soal yang bisa diselesaikan dengan metode integral subtitusi. Contoh soal, pembahasan dan latihan soal integral substitusi trigonometri. Sesuai namanya, kita menggunakan substitusi untuk . Berikut beberapa contoh soal yang dapat dijadikan latihan untuk menambah pemahaman menyangkut integral dengan metode/teknik substitusi. Contoh soal integral substitusi trigonometri 1 adalah video ke 9/12 dari seri belajar integral di wardaya college. Untuk tingkat soal yang lebih kompleks, akan digunakan integral . Soal ini akan sulit kita selesaikan dengan substitusi aljabar maupun teknik parsial, sehingga . Integral substitusi adalah sebuah metode atau teknik dalam menyelesaikan masalah integral.

Teknik substitusi aljabar ini dikatakan berhasil jika turunan dari u bisa mencoret fungsi lain yang tidak dimisalkan yaitu fungsi g(x). Integral substitusi adalah sebuah metode atau teknik dalam menyelesaikan masalah integral. Integral rumus subsitusi parsial tentu tak tentu dan contoh soal . Tentukan hasil integral dari ∫x2√1−x2dx ? Soal dan pembahasan integral metode substitusi posted by edutafsi on 22.

Untuk tingkat soal yang lebih kompleks, akan digunakan integral . Contoh Soal Integral Parsial Dan Pembahasannya Revisi Id
Contoh Soal Integral Parsial Dan Pembahasannya Revisi Id from imgv2-2-f.scribdassets.com
Teknik substitusi aljabar ini dikatakan berhasil jika turunan dari u bisa mencoret fungsi lain yang tidak dimisalkan yaitu fungsi g(x). Integral rumus subsitusi parsial tentu tak tentu dan contoh soal . Soal dan pembahasan yang sering keluar saat ujian. Soal ini akan sulit kita selesaikan dengan substitusi aljabar maupun teknik parsial, sehingga . Integral substitusi adalah sebuah metode atau teknik dalam menyelesaikan masalah integral. Tentukan hasil integral dari ∫x2√1−x2dx ? Untuk tingkat soal yang lebih kompleks, akan digunakan integral . Berikut beberapa contoh soal yang dapat dijadikan latihan untuk menambah pemahaman menyangkut integral dengan metode/teknik substitusi.

Untuk tingkat soal yang lebih kompleks, akan digunakan integral .

Contoh soal integral substitusi trigonometri 1 adalah video ke 9/12 dari seri belajar integral di wardaya college. Integral substitusi adalah sebuah metode atau teknik dalam menyelesaikan masalah integral. Berikut beberapa contoh soal yang dapat dijadikan latihan untuk menambah pemahaman menyangkut integral dengan metode/teknik substitusi. Soal ini akan sulit kita selesaikan dengan substitusi aljabar maupun teknik parsial, sehingga . Teknik substitusi aljabar ini dikatakan berhasil jika turunan dari u bisa mencoret fungsi lain yang tidak dimisalkan yaitu fungsi g(x). Tentukan hasil integral dari ∫x2√1−x2dx ? Sesuai namanya, kita menggunakan substitusi untuk . Itulah tadi contoh soal yang bisa diselesaikan dengan metode integral subtitusi. Contoh soal, pembahasan dan latihan soal integral substitusi trigonometri. Soal dan pembahasan integral metode substitusi posted by edutafsi on 22. Untuk tingkat soal yang lebih kompleks, akan digunakan integral . Integral rumus subsitusi parsial tentu tak tentu dan contoh soal . Soal dan pembahasan yang sering keluar saat ujian.

Kumpulan Soal Integral Substitusi : Contoh Soal Integral Parsial Berulang Tutorialbahasainggris Co Id / Tentukan hasil integral dari ∫x2√1−x2dx ?. Contoh soal integral substitusi trigonometri 1 adalah video ke 9/12 dari seri belajar integral di wardaya college. Soal dan pembahasan integral metode substitusi posted by edutafsi on 22. Untuk tingkat soal yang lebih kompleks, akan digunakan integral . Integral substitusi adalah sebuah metode atau teknik dalam menyelesaikan masalah integral. Contoh soal, pembahasan dan latihan soal integral substitusi trigonometri.

Posting Komentar untuk "Kumpulan Soal Integral Substitusi : Contoh Soal Integral Parsial Berulang Tutorialbahasainggris Co Id / Tentukan hasil integral dari ∫x2√1−x2dx ?"